QurvE is an open-source, R package and software
that provides a fully automated pipeline for fitting time-resolved
biological data, including curve fitting, statistical evaluation, model
selection, dose-response analysis, and built-in functions for data
visualization.
If you use QurvE in your published work, please cite:
Wirth, N.T., Funk, J., Donati, S. et al. QurvE: user-friendly software for the analysis of biological growth and fluorescence data. Nat Protoc (2023). https://doi.org/10.1038/s41596-023-00850-7
User manual for QurvE application
User manual for growth curve analysis
User manual for fluorescence curve analysis
In virtually all disciplines of biology dealing with living organisms,
from classical microbiology to applied biotechnology, it is routine to
characterize the growth of the species under study. QurvE provides
a suite of analysis tools to make such growth profiling quick,
efficient, and reproducible. In addition, it allows the characterization
of fluorescence data for, e.g., biosensor characterization in plate
reader experiments (further discussed in the vignette Quantitiative
Fluorescence Curve Evaluation with Package QurvE). All computational
steps to obtain an in-depth characterization are combined into
user-friendly workflow functions and a range of plotting functions
allow the visualization of fits and the comparison of organism
performances.
Any physiological parameter calculated (e.g., growth rate µ, doubling
time tD, lag time
The package is build on the foundation of the two R packages from Kahm
et al. (2010) and Petzoldt
(2022). QurvE was designed to be usable with
minimal prior knowledge of the R programming language or programming in
general. You will need to be familiar with the idea of running commands
from a console or writing basic scripts. For R beginners,
this is a great
starting point, there are some good resources
here and we suggest
using the RStudio
application. It
provides an environment for writing and running R code.
With consideration for R novices, QurvE establishes a framework in
which a complete, detailed growth curve analysis can be performed in two
simple steps:
-
Read data in custom format or parse data from a plate reader experiment.
-
Run workflow, including fitting of growth curves, dose-response analysis, and rendering a report that summarizes the results.
All computational results of a workflow are stored in a data container
(list) and can be visualized by passing them to the generic function
plot(list_object). QurvE further extends the user’s control over the
fits by defining thresholds and quality criteria, allows the direct
parsing of data from plate reader result files, and calculates
parameters for an additional growth phase (bi-phasic growth).
The most recent release version can be found on CRAN:
install.packages("QurvE")Install the most current version with package devtools:
install.packages("devtools")
library(devtools)
install_github("NicWir/QurvE")QurvE features a graphical user interface (GUI) developed as a Shiny app, which has been designed to be user-friendly and intuitive. You can start the app by running:
QurvE::run_app()See the QurvE User Manual for details on how to use the front-end application.
Three methods are available to characterize growth curves:
-
Fit parametric growth models to (log-transformed) growth data
-
Determine maximum growth rates (µmax) from the log-linear part of a growth curve using a heuristic approach proposed as the “growth rates made easy”-method by Hall et al. (2014). Do do so,
QurvEuses code from the package Petzoldt (2022), but adds user-defined thresholds for (i) R2 values of linear fits, (ii) relative standard deviations (RSD) of estimates slopes, and (iii) the minimum fraction of total growth value increase (ΔY) a regression window should cover to be considered for the analysis. These thresholds ensure a more robust and reproducible identification of the linear range that best describes the growth curve. Additionally, parameters for a secondary growth phase can be extracted for bi-linear growth curves.1
The algorithm works as follows:-
Fit linear regressions [with the Theil-Sen estimator (Sen, 1968; Theil, 1992)] to all subsets of
hconsecutive, log-transformed data points (sliding window of sizeh). If, for example,h=5, fit a linear regression to points 1$\dots$ 5, 2$\dots$ 6, 3$\dots$ 7 and so forth. -
Find the subset with the highest slope
$\mu_{max}$ . Do the R2 and RSD values of the regression meet the defined thresholds and do the data points within the regression window account for at least a defined fraction of the total growth measurement increase? If not, evaluate the regression with the second highest slope, and so forth. -
Include also the data points of adjacent subsets that have a slope of at least a
$defined \space quota \times \mu_{max}$ , e.g., all regression windows that have at least 95% of the maximum slope. -
Fit a new linear model to the extended data window identified in step iii.
If
biphasic = TRUE(see section @ref(run-workflow)), the following steps are performed to define a second growth phase:-
Perform a smooth spline fit on the data with a smoothing factor of 0.5.
-
Calculate the second derivative of the spline fit and perform a smooth spline fit of the derivative with a smoothing factor of 0.4.
-
Determine local maxima and minima in the second derivative.
-
Find the local minimum following
$\mu_{max}$ and repeat the heuristic linear method for later time values. -
Find the local maximum before
$\mu_{max}$ and repeat the heuristic linear method for earlier time values. -
Choose the greater of the two independently determined slopes as
$\mu_{max}2$ .
-
-
Perform a smooth spline fit on (log-transformed) growth data and extract µmax as the maximum value of the first derivative1.
If
biphasic = TRUE(see section @ref(run-workflow)), the following steps are performed to define a second growth phase:-
Determine local minima within the first derivative of the smooth spline fit.
-
Remove the ‘peak’ containing the highest value of the first derivative (i.e.,
$\mu_{max}$ ) that is flanked by two local minima. -
Repeat the smooth spline fit and identification of maximum slope for later time values than the local minimum after
$\mu_{max}$ . -
Repeat the smooth spline fit and identification of maximum slope for earlier time values than the local minimum before
$\mu_{max}$ . -
Choose the greater of the two independently determined slopes as
$\mu_{max}2$ .
-
The purpose of a dose-response analysis is to define the sensitivity
of a given organism to the effects of a compound or the potency of a
substance, respectively. Such effects can be either beneficial (e.g., a
nutrient compound) or detrimental (e.g., an antibiotic). The sensitivity
is reflected in the half-maximal effective concentration
(EC50), i.e., the concentration (dose) at which the
half-maximal response (e.g., QurvE
provides two methods to determine the EC50:
-
Perform a smooth spline fit on response vs. concentration data and extract the EC50 as the concentration at the midpoint between the largest and smallest response value.
-
Apply up to 20 (parametric) dose-response models to response vs. concentration data and choose the best model based on the Akaike information criterion (AIC). This is done using the excellent package
drc(Ritz et al., 2016).
QurvE accepts files with the formats .xls, .xlsx, .csv, .tsv,
and .txt (tab separated). The data in the files should be structured
as shown in Figure @ref(fig:data-layout). Alternatively, data parsers
are available that allow direct import of raw data from different
culture instruments. For a list of currently supported devices, please
run ?parse_data.
Please note: I recommend always converting .xls or .xlsx files to an alternate format first to speed up the parsing process. Reading Excel files may require orders of magnitude longer processing time.
To ensure compatibility with any type of measurement and data type
(e.g., optical density, cell count, measured dimensions), QurvE uses a
custom data layout. Here the first column contains time values and
‘Time’ in the top cell, cells #2 and #3 are ignored. The remaining
columns contain measurement values and the following sample
identifiers in the top three rows:
- Sample name; usually a combination of organism and condition, or ‘blank’.
- Replicate number; replicates are identified by identical names and concentration values. If only one type of replicate (biological or technical) was performed, enter numerical values here. If both biological and technical replicates of these biological replicates have been performed, the technical replicates should have the same replicate number. The technical replicates are then combined by their average value.
- (optional) Concentration values of an added compound; this information is used to perform a dose-response analysis.
Several experiments (e.g., runs on different plate readers) can be combined into a single file and analyzed simultaneously. Therefore, different experiments are marked by the presence of separate time columns. Different lengths and values in these time columns are permitted.
To read data in custom format, run:
grodata <- read_data(data.growth = 'path_to_data_file',
csvsep = ';', # or ','
dec = '.', # or ','
sheet.growth = 1, # number (or "name") of the EXCEL file sheet containing data
subtract.blank = TRUE,
calib.growth = NULL)The data.growth argument takes the
path to the file or the name of an R dataframe object containing
experimental data in custom format.
csvsep specifies the separator symbol
(only required for .csv files; default: ';').
dec is the decimal separator (only
required for .csv, .tsv, or .txt files; default: '.'). If an Excel
file format is used, sheet.growth
specifies the number or name (in quotes) of the sheet containing the
data.
If subtract.blank = TRUE, columns
with name ‘blank’ will be combined by their row-wise average, and the
mean values will be subtracted from the measurements of all remaining
samples. For the calib.growth
argument, a formula can be provided in the form ‘y = function(x)’
(e.g., calib.growth = 'y = x * 2 + 0.5') to transform growth
measurement values.
The QurvE package is designed to be flexible and user-friendly, and it
is fully compatible with data in ‘tidy’ format. This format, also known
as ‘long’ format, is a standard way of organizing data that suits many
types of analyses and visualizations in R.
In tidy format, each row is an observation and each column is a
variable. In the context of QurvE, your data should include the
following columns:
-
“Time”: This column should contain the time values for your observations.
-
“Description”: This column should contain a description of the sample. This could be a combination of organism and condition or any other relevant descriptor.
-
“Values”: This column should contain the measurement values for your experiment (e.g., optical density, cell count, etc.).
-
“Replicate” (optional): If you have multiple replicate measurements for the same condition (“Description” labels), you can indicate the replicate number in this column.
-
“Concentration” (optional): If there’s a compound of interest added to the sample, you can record its concentration in this column.
To load your tidy format data into QurvE, use the read_data function
in the following way:
grodata <- read_data(data.growth = 'path_to_tidy_data_file',
csvsep = ';', # or ','
dec = '.', # or ','
sheet.growth = 1, # number (or "name") of the EXCEL file sheet containing data
subtract.blank = TRUE,
calib.growth = NULL)This code block works the same way as for the custom format described
above; QurvE detects automatically if data is in tidy format. Be sure
to replace 'path_to_tidy_data_file' with the path to your own data
file.
Note: Always ensure your data meets the tidy data standard. This means
that every variable has its own column, every observation has its own
row, and every value has its own cell. Additionally, make sure that your
column headers exactly match those specified above, as QurvE will look
for these specific headers when processing your data.
The data generated by culture devices (e.g., plate readers) from
different manufacturers come in different formats. If these data are to
be used directly, they must first be “parsed” from the plate reader into
the QurvE standard format. In this scenario, sample information must
be provided in a separate table that maps samples with their
respective identifiers.The mapping table must have the following
layout (Figure @ref(fig:mapping-layout)):
To parse data, run:
grodata <- parse_data(data.file = 'path_to_data_file',
map.file = 'path_to_mapping_file',
software = 'used_software_or_device',
csvsep.data = ';', # or ','
dec.data = '.', # or ','
csvsep.map = ';', # or ','
dec.map = '.', # or ','
sheet.data = 1, # number (or "name") of the EXCEL file sheet containing data
sheet.map = 1, # number (or "name") of the EXCEL file sheet containing
# mapping information
subtract.blank = TRUE,
calib.growth = NULL,
convert.time = NULL)The data.file argument takes the path
to the file containing experimental data exported from a culture device,
map.file the path to the file with
mapping information. With software,
you can specify the device (or software) that was used to generate the
data. csvsep.data and
csvsep.map specify the separator
symbol for data and mapping file, respectively (only required for .csv
files; default: ';'). dec.data and
dec.map are the decimal separator
used in data and mapping file, respectively (only required for .csv,
.tsv, or .txt files; default: '.'). If an Excel file format is used
for both or one of data or mapping file,
sheet.data and/or
sheet.map specify the number or name
(in quotes) of the sheet containing the data or mapping information,
respectively. If the same Excel file contains both data and mapping
information in different worksheets, the file path needs to be specified
for both data.fileand map.file. If
subtract.blank = TRUE, samples with
name ‘blank’ will be combined by their row-wise average, and the mean
values will be subtracted from the measurements of all remaining
samples. The argument convert.time
accepts a function ‘y = function(x)’ to transform time values (e.g.,
convert.time = 'y = x/3600' to convert seconds to hours).
If more than one read type is identified in the provided data file, the user will be prompted to specify which measurements belong to growth, fluorescence, and fluorescence2, respectively.
QurvE reduces all computational steps required to create a complete
growth profiling to two steps, read data and run workflow.
After loading the package:
library(QurvE)we load experimental data from the publication Wirth & Nikel (2021) in which Pseudomonas putida KT2440 and an engineered strain were tested for their sensitivity towards the product 2-fluoromuconic acid:
grodata <- read_data(data.growth = system.file("2-FMA_toxicity.csv",
package = "QurvE"), csvsep = ";")The created object grodata can be inspected with View(grodata). It
is a list of class grodata containing:
-
a
timematrix with 66 rows, each corresponding to one sample in the dataset, and 161 columns, i.e., time values for each sample. -
a
growthdata frame with 66 rows and 161+3 columns. The three additional columns contain the sample identifierscondition,replicate, andconcentration. -
fluorescence1(here:NA) -
fluorescence2(here:NA) -
norm.fluorescence1(here:NA) -
norm.fluorescence2(here:NA) -
expdesign, a data frame containing thelabel,condition,replicate, andconcentrationfor each sample:
head(grodata$expdesign)
#> label condition replicate concentration
#> 1 KT2440 | 1 | 90 KT2440 1 90
#> 2 KT2440 | 1 | 70 KT2440 1 70
#> 3 KT2440 | 1 | 50 KT2440 1 50
#> 4 KT2440 | 1 | 25 KT2440 1 25
#> 5 KT2440 | 1 | 20 KT2440 1 20
#> 6 KT2440 | 1 | 15 KT2440 1 15We can plot the raw data. Applying the generic plot() function to
grodata objects calls the function plot.grodata().:
plot(grodata, data.type = "growth", log.y = FALSE,
x.lim = c(NA, 32), legend.position = "right",
exclude.conc = c(50, 70, 90),
basesize = 10, legend.ncol = 1, lwd = 0.7)To perform a complete growth profiling of all samples in the input
dataset, we call the growth.workflow() function on the grodata
object. With supress.messages = TRUE,
we avoid printing information about every sample’s fit in the sample to
the console. By default, the selected response parameter to perform a
dose-response analysis is ‘mu.linfit’. To choose a different parameter,
provide the argument
dr.parameter = 'choice'. A list of
appropriate parameters is provided within the function documentation
(?growth.workflow).
grofit <- growth.workflow(grodata = grodata, fit.opt = "a", ec50 = TRUE,
suppress.messages = TRUE, export.res = FALSE) # Prevent creating TXT table and RData files with resultsIf option export.res is set to
TRUE, tab-delimited .txt files
summarizing the computation results are created, as well as the grofit
object (an object of class grofit) as .RData file. This object (or the
.RData file) contains all raw data, fitting options, and computational
results. Figure @ref(fig:grofit-container) shows the structure of the
generated grofit object. In RStudio, View(grofit) allows interactive
inspection of the data container.
If you want to create a report summarizing all computational results
including a graphical representation of every fit, provide the desired
output format(s) as report = 'pdf',
report = 'html', or
report = c('pdf', 'html'). The
advantage of having the report in HTML format is that every figure can
be exported as (editable) PDF file.
In the spirit of good scientific practice (data transparency), I would encourage anyone using QurvE to attach the .RData file and generated reports to their publication.
Arguments that are commonly modified:
| args | descr |
|---|---|
fit.opt |
Which growth fitting methods to perform; a string containing 'l' for linear fits, 's' for spline fits, 'm' for model fits, or 'a'(the default) for all three methods. Combinations can be also given as a vector of strings, e.g., c('l', 's'). |
model.type |
Which growth models to apply; a string containing one of, or a vector of strings containing any combination of ‘logistic’, ‘richards’, ‘gompertz’, ‘gompertz.exp’, ‘huang’, and ‘baranyi’. |
log.y.linlog.y.splinelog.y.model |
Should Ln(y/y0) be applied to the growth data for the respective fits? |
biphasic |
Extract growth parameters for two different growth phases (as observed with, e.g., diauxic shifts) |
interactive |
Controls interactive mode. If TRUE, each fit is visualized in the Plots pane and the user can adjust fitting parameters and confirm the reliability of each fit per sample |
nboot.gc |
Number of bootstrap samples used for nonparametric growth curve fitting. See ?growth.gcBootSpline for details. |
dr.method |
Define the method used to perform a dose-responde analysis: smooth spline fit ('spline') or model fitting ('model', the default). See section 4 |
dr.parameter |
The response parameter in the output table to be used for creating a dose response curve. See ?growth.drFit for further details. |
Please consult ?growth.workflow for further arguments to customize the
workflow.
A grofit object contains two tables summarizing the computational
results: - grofit$gcFit$gcTable lists all calculated physiological
parameters for every sample and fit - grofit$drFit$drTable contains
the results of the dose-response analysis
# show the first three rows and first 14 columns of gcTable
gcTable <- grofit$gcFit$gcTable
gcTable[1:3, 1:14]TestId AddId concentration reliability_tag used.model log.x log.y.lin log.y.spline 1 KT2440 1 90 TRUE FALSE TRUE TRUE 2 KT2440 1 70 TRUE FALSE TRUE TRUE 3 KT2440 1 50 TRUE FALSE TRUE TRUE log.y.model nboot.gc mu.linfit tD.linfit lambda.linfit dY.linfit 1 TRUE 0 0 0 2 TRUE 0 0 0 3 TRUE 0 0 0
# Show drTable. The function as.data.frame() ensures that it is shown in table format.
drTable <- as.data.frame(grofit$drFit$drTable)Additionally, the dedicated functions table_group_growth_linear(),
table_group_growth_model(), and table_group_growth_spline() allow
the generation of grouped results tables for each of the three fit types
with averages and standard deviations. The column headers in the
resulting data frames are formatted with HTML for visualization in shiny
and with DT::datatable().
A summary of results for each individual fit can be obtained by applying
the generic function summary() to any fit object within grofit.
Several generic plot() methods have been written to allow easy
plotting of results by merely accessing list items within the grofit
object structure (Figure @ref(fig:grofit-container)).
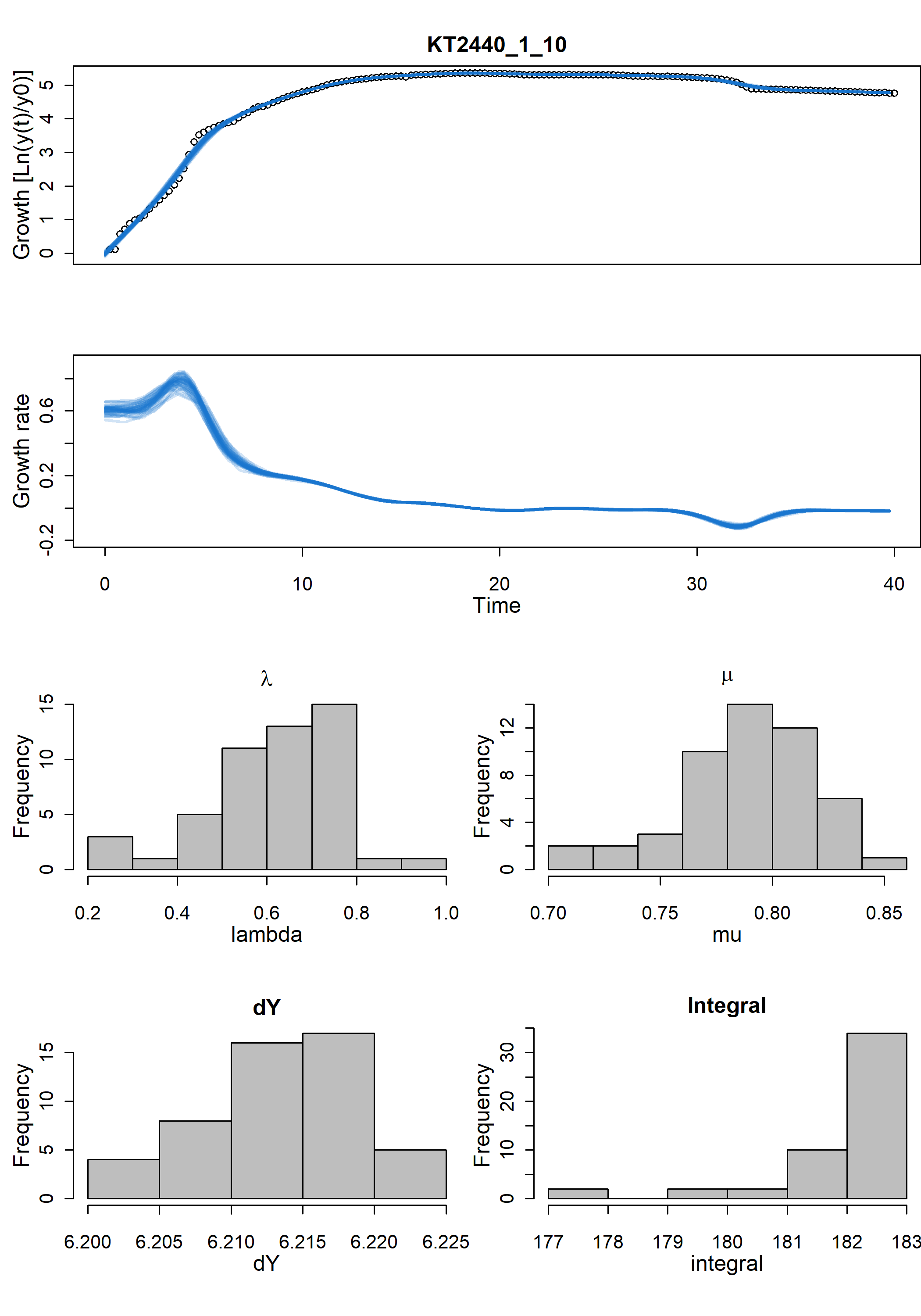
Applying plot() to the grofit object produces a figure of all spline
fits performed as well as the first derivative (slope) over time. The
generic function calls plot.grofit() with data.type = 'spline' and
thus, the same options are available as described for Figure
@ref(fig:raw-data-plot).
plot(grofit,
data.type = "spline",
log.y = TRUE,
deriv = TRUE,
conc = c(0,5,10,15,20),
legend.position = "right",
legend.ncol = 1,
x.lim = c(NA, 32),
y.lim = c(0.01,NA),
n.ybreaks = 10,
basesize=10,
lwd = 0.7)A convenient way to compare the performance of different organisms under
different conditions is to plot the calculated growth parameters by
means of the function plot.parameter().
# Parameters obtained from linear regression
plot.parameter(grofit, param = "mu.linfit", basesize = 10, legend.position = "bottom")
plot.parameter(grofit, param = "dY.linfit", basesize = 10, legend.position = "bottom")
# Parameters obtained from nonparametric fits
plot.parameter(grofit, param = "mu.spline", basesize = 10, legend.position = "bottom")
plot.parameter(grofit, param = "dY.spline", basesize = 10, legend.position = "bottom")
# Parameters obtained from model fits
plot.parameter(grofit, param = "mu.model", basesize = 10, legend.position = "bottom")
plot.parameter(grofit, param = "dY.orig.model", basesize = 10,
legend.position = "bottom")Parameter plots. If `mean = TRUE`, the results of replicates are combined and shown as their mean ± 95% confidence interval. As with the functions for combining different growth curves, the arguments `name`, `exclude.nm`, `conc` and `exclude.conc` allow (de)selection of specific samples or conditions. Since we applied growth models to log-transformed data, calling ‘dY.orig.model’ or ‘A.orig.model’ instead of ‘dY.model’ or ‘A.model’ provides the respective values on the original scale. For linear and spline fits, this is done automatically. For details about this function, run `?plot.parameter`.
From the parameter plot for ´mu.linfit´ (the growth rates determined with linear regression), we can see that there is an outlier for strain KT2440 at concentration 0. We can plot the individual fits for this condition to find out if this is due to the fit quality:
plot(grofit$gcFit$gcFittedLinear$`KT2440 | 1 | 0`, cex.lab = 1.2,
cex.axis = 1.2)
plot(grofit$gcFit$gcFittedLinear$`KT2440 | 2 | 0`, cex.lab = 1.2,
cex.axis = 1.2)Linear fit plots to identify sample outliers. For details about this function, run `?plot.gcFitLinear`.
Apparently, the algorithm to find the maximum slope in the growth curve
with the standard threshold of lin.R2 = 0.97 could not find an
appropriate fit within the first stage of growth due to insufficient
linearity. We can manually re-run the fit for this sample with adjusted
parameters. Thereby, we lower the R2 threshold and increase the size of
the sliding window to cover a larger fraction of the growth curve. Then,
we update the respective entries in the gcTable object that summarizes
all fitting results (and that plot.parameter() accesses to extract
relevant data). The generic function summary(), when applied to a the
fit object of a single sample within grofit, provides the required
parameters to update the table. Lastly, we also have to re-run the
dose-response analysis since ‘mu.linfit’ was used as response parameter
(the default), including the erroneous value.
Note: This process of manually updating grofitelements with adjusted
fits can be avoided by re-running growth.workflow with adjusted global
parameters or my running the workflow in interactive mode
(interactive = TRUE). In interactive mode, each individual fit is
printed and the user can decide to re-run a single fit with adjusted
parameters.
# Replace the existing linear fit entry for sample `KT2440 | 2 | 0`
# with a new fit
grofit$gcFit$gcFittedLinear$`KT2440 | 2 | 0` <-
growth.gcFitLinear(time = grofit$gcFit$gcFittedLinear$`KT2440 | 2 | 0`$raw.time,
data = grofit$gcFit$gcFittedLinear$`KT2440 | 2 | 0`$raw.data,
control = growth.control(lin.R2 = 0.95, lin.h = 10))
# extract row index of sample `KT2440 | 2 | 0`
ndx.row <- grep("KT2440 \\| 2 \\| 0", grofit$expdesign$label)
# get column indices of linear fit parameters (".linfit")
ndx.col <- grep("\\.linfit", colnames(grofit$gcFit$gcTable) )
# Replace previous growth parameters stored in gcTable
grofit$gcFit$gcTable[ndx.row, ndx.col] <-
summary(grofit$gcFit$gcFittedLinear$`KT2440 | 2 | 0`)
# Replace existing dose-response analysis with new fit
grofit$drFit <- growth.drFit(
gcTable = grofit$gcFit$gcTable,
control = grofit$control) # we can copy the control object from the original workflow.And we can validate the quality of the updated fit:
plot(grofit$gcFit$gcFittedLinear$`KT2440 | 2 | 0`, cex.lab = 1.2)That looks better!
# Parameters obtained from linear regression
plot.parameter(grofit, param = "mu.linfit", basesize = 15)By arranging the individual samples in a grid, we can create a visual representation similar to a heat map that illustrates the values of a chosen parameter. This can be a helpful way to gain insights and understand trends within the data.:
plot.grid(grofit,
param = "mu.linfit",
pal = "Mint",
log.y = FALSE,
sort_by_conc = FALSE,
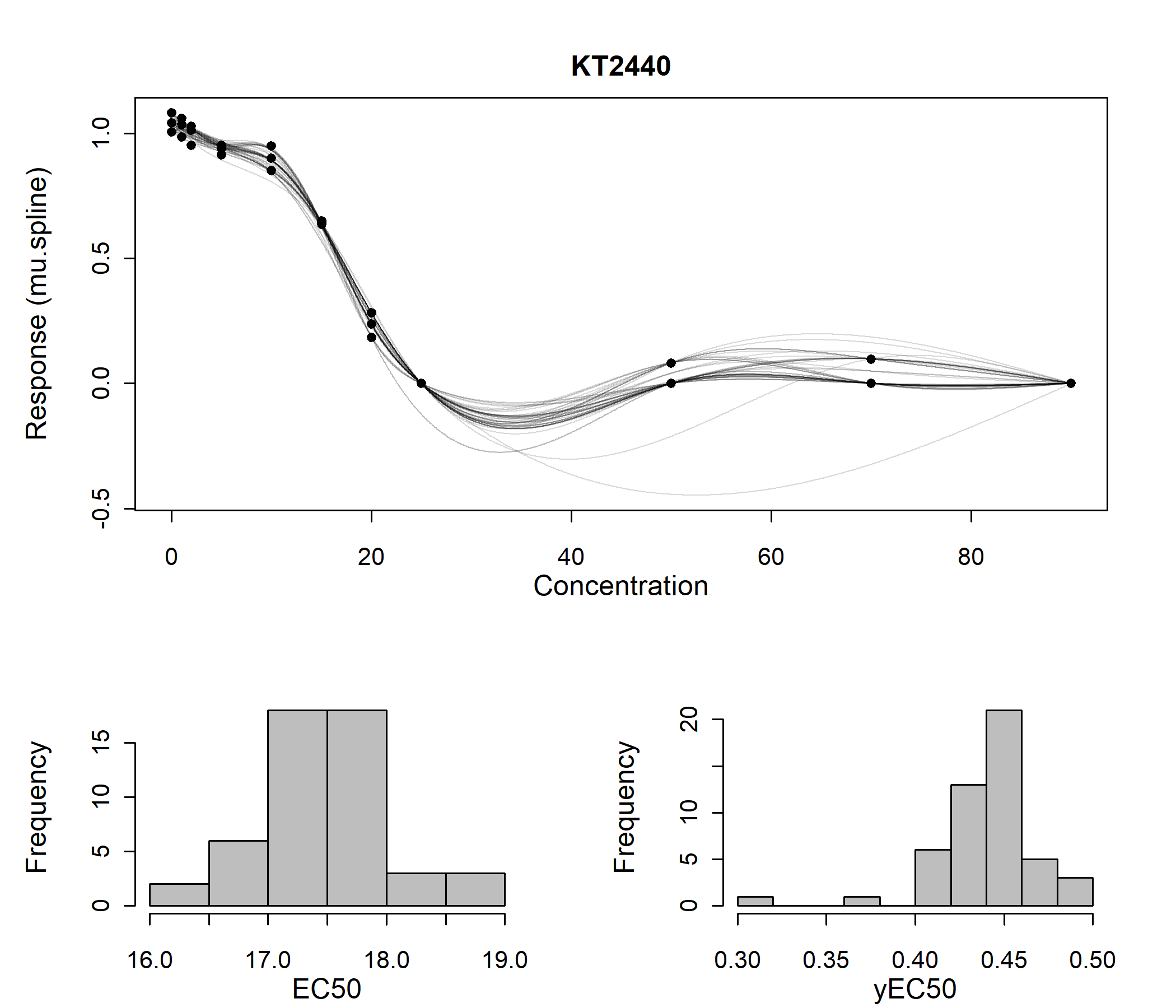
basesize = 9)The results of the dose-response analysis can be visualized by calling
plot() on the drFit object that is stored within grofit. This
action calls plot.drFit() which in turn runs plot.drFitSpline() or
plot.drFitModel() (depending on the choice of
dr.method in the workflow) on every
condition for which a dose-response analysis has been performed.
Alternatively, you can call plot() on the list elements in
grofit$drFit$drFittedModels or grofit$drFit$drFittedSplines,
respectively.
plot(grofit$drFit, cex.point = 1, basesize = 12)When growth experiments are performed on a larger scale with manual
growth measurements, technical deviations can result in outliers. Such
outliers can lead to a distortion of the curve fits, especially if fewer
data points are available than is usual in plate reading experiments. In
this instance, bootstrapping can provide a more realistic estimation of
growth parameters. Bootstrapping is a statistical procedure that
resamples a single dataset to create many simulated samples. This is
done by randomly drawing data points from a dataset with replacement
until the original number of data points has been reached. The analysis
(here: growth fitting) is then performed individually on each
bootstrapped replicate. The variation in the resulting estimated
parameters is a reasonable approximation of the variance in those
parameters. To include bootstrapping into the QurvE workflow, we
define the argument nboot.gc.
Similarly, we can include bootstrapping in the dose-response analysis if
done with dr.method = 'spline' by
defining argument nboot.dr.
grofit_bt <- growth.workflow(grodata = grodata,
fit.opt = "s", # perform only nonparametric growth fitting
nboot.gc = 50,
ec50 = T,
dr.method = "spline",
dr.parameter = "mu.spline",
nboot.dr = 50,
smooth.dr = 0.25,
suppress.messages = TRUE,
export.res = F)To plot the results of a growth fit with bootstrapping, we call plot()
on a gcBootSpline object:
plot(grofit_bt$gcFit$gcBootSpline[[7]], # Double braces serve as an alternative to
# access list items and allow their access by number
combine = TRUE, # combine both growth curves and parameter plots in the same window
lwd = 0.7)
Nonparametric growth fit with bootstrapping. For details about this function, run `?plot.gcBootSpline`.
And by applying plot() to a drBootSpline object, we can plot the
dose-response bootstrap results:
plot(grofit_bt$drFit$drBootSpline[[1]],
combine = TRUE, # combine both dose-response curves and parameter plots in the same window
lwd = 0.7)
Dose-response analysis with bootstrapping. For details about this function, run `?plot.drBootSpline`.
Hall B.G., Acar H., Nandipati A. & Barlow M. (2014). Growth rates made easy. Mol Biol Evol 31 (1): 232–8. https://doi.org/10.1093/molbev/mst187.
Kahm M., Hasenbrink G., Lichtenberg-Fraté H., Ludwig J. & Kschischo M. (2010). Grofit: Fitting biological growth curves with r. Journal of Statistical Software 33 (7): 1–21. https://doi.org/10.18637/jss.v033.i07.
Petzoldt T. (2022). Growthrates: Estimate growth rates from experimental data. https://github.com/tpetzoldt/growthrates.
Ritz C., Baty F., Streibig J.C. & Gerhard D. (2016). Dose-response analysis using r. PLOS ONE 10 (12): e0146021. https://doi.org/10.1371/journal.pone.0146021.
Sen P.K. (1968). Estimates of the regression coefficient based on kendall’s tau. Journal of the American Statistical Association 63 (324): 1379–1389. https://doi.org/10.1080/01621459.1968.10480934.
Theil H. (1992). A Rank-Invariant Method of Linear and Polynomial Regression Analysis. Springer Netherlands, p. 345–381. https://doi.org/10.1007/978-94-011-2546-8_20.
Wirth N.T. & Nikel P.I. (2021). Combinatorial pathway balancing provides biosynthetic access to 2-fluoro-cis,cis-muconate in engineered Pseudomonas putida. Chem catalysis 1 (6): 1234–1259. https://doi.org/10.1016/j.checat.2021.09.002.
Footnotes
-
For linear and nonparametric (i.e, smooth spline) fits, the lag time is calculated as the intersect of the tangent at µmax and a horizontal line at the first data point (y0). For the analysis of bi-phasic growth curves, the lag time is extracted as the lower of the two obtained $\lambda$ values. ↩
















